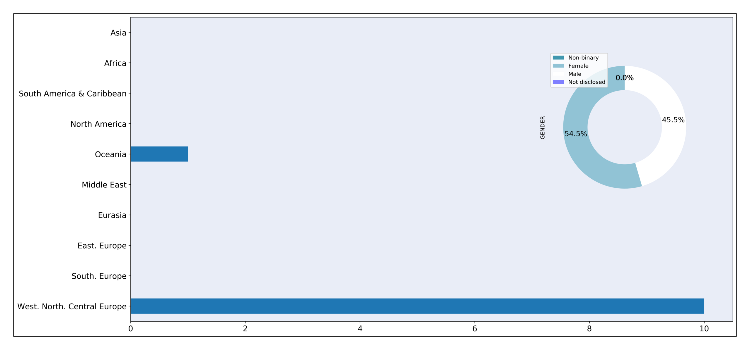
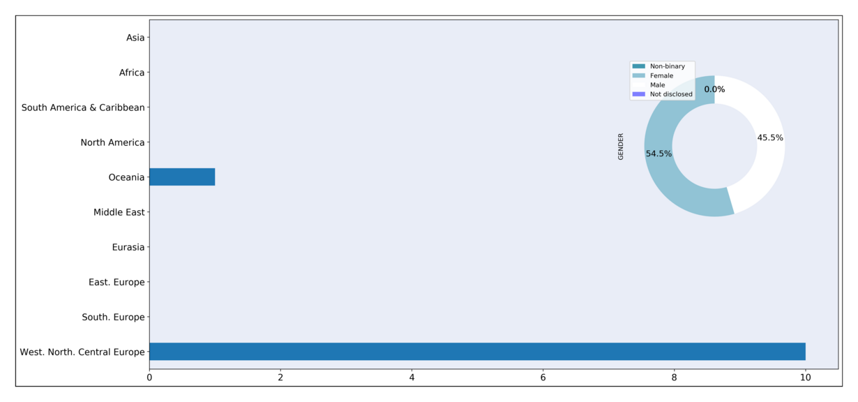
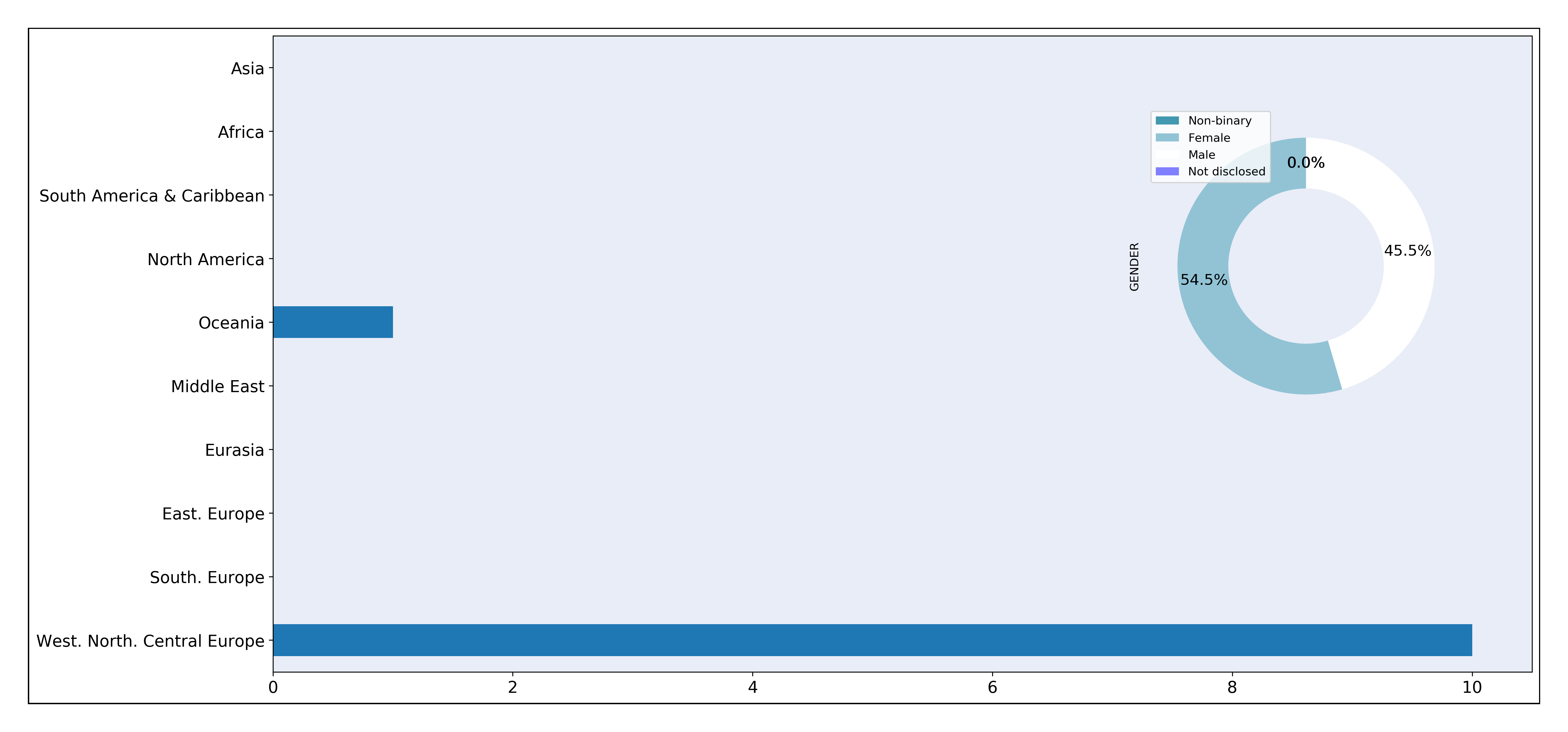
NW 18 on the EERAblog
Recent Posts on the #EERABlog
"The Challenges and Opportunities of Physical Education within the Context of Health and Wellbeing"
Dr Shirley Gray, Dr Rachel Sandford
"How Design Thinking in Education can Help During COVID-19" Dr Fiona Chambers
NW 18 runs a mailing list and invites researchers to join. To join the mailing list, send a blank message to nw18-subscribe(at)lists.eera-ecer.de


