104 submissions were presented in the NW 02 Programme in 2019. The table shows the ratio of submission formats.
The table shows an overview of the 108 submitting authors to NW 02 (including the individual submissions within each symposium) and their country of origin and and gender.
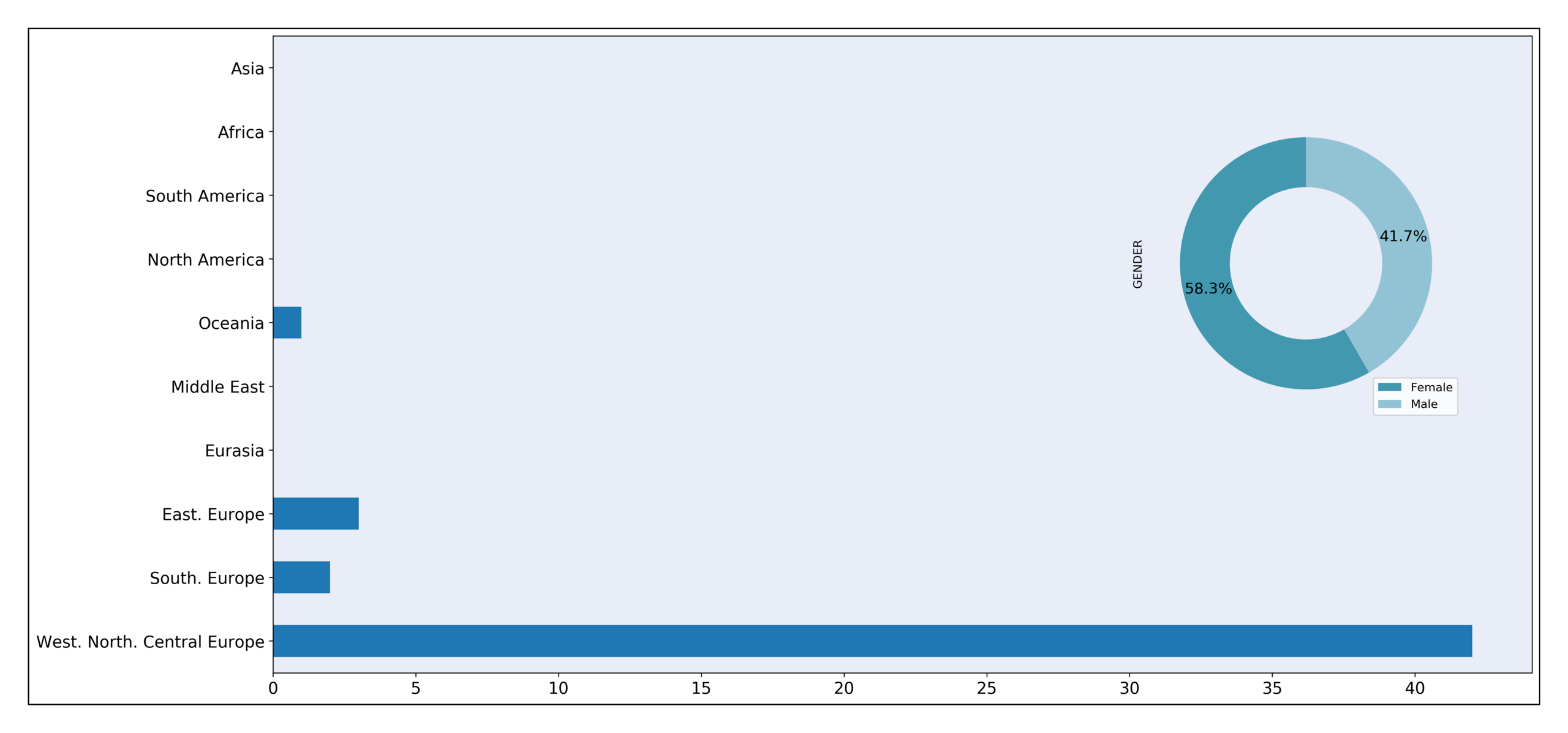
48 reviewers were involved in the reviewing process for NW 02. Country of origin and gender are portrayed in this graph.