Info for
Link Convenors
Council Members
Chairpersons
Reviewers
Emerging Researchers
ECER Presenters
Job Hunters
News
Contact
Imprint
Data Privacy
Blog
Facebook
Linkedin
YouTube
Bluesky
Mastodon
About
About
Find out about EERA membership, projects and partnerships, governing structure and how we promote early reserachers.
Read more
Membership
EERA Members
Members' Reports
How to Join EERA
Building an Educational Research Association
EERA Governance
EERA Council
Executive Board
Previous Executive Boards
Official Statements
Annual Reports
Awards
ERC Best Paper Award
ERC Poster Awards
ECER Conference Bursaries
ECER Best Poster Award
Promoting Emerging Researchers
Projects & Partnerships
EduTopics
Global Education Award
EASSH
ISE
EERQI
WERA
EERA and Horizon 2020
Ethical Guidelines
EERA Office
Conferences
Conferences
Since the first ECER in 1992, the conference has grown into one of the largest annual educational research conferences in Europe.
Read more
ECER 2026, Tampere
ECER Programme
Emerging Researchers' Conference
Venue Information
Submission
Registration and Fees
Accessibility and Inclusion
FAQ and Advice
Scientific Committee and Programme Comittee
Previous ECERs
ECER 2025, Belgrade
ECER 2024, Nicosia
ECER 2023, Glasgow
ECER 2022, Yerevan
ECER 2021, Geneva (online)
ECER 2020, Glasgow
ECER 2019, Hamburg
ECER 2018, Bolzano
ECER 2017, Copenhagen
ECER 2016, Dublin
ECER 2015, Budapest
ECER 2014, Porto
ECER 2013, Istanbul
ECER 2012, Cádiz
ECER 2011, Berlin
ECER 2010, Helsinki
ECER 2009, Vienna
ECER 2008, Göteborg
ECER 2007, Ghent
ECER 2006, Geneva
ECER 2005, Dublin
ECER 2004, Crete
ECER 2003, Hamburg
ECER 2002, Lisbon
ECER 2001, Lille
ECER 2000, Edinburgh
What is ECER?
Hosting an ECER
Other Organisations' Events
11th Cyprus International Conference on Educational Research (CYICER - 2026)
International Conference: Human Rights and Democratic Culture in Practice: Applications and Challenges
ICEA2026 - 19th International Congress on Educational Administration
HuCER 2026 – Call for Papers
Conference at Mälardalen University: AI in Writing Pedagogy - Call for Papers
ORD 2026 - Educational Research Days
Globalisation in Languages, Education, Culture, and Communication (GLECC2026)
BERA Conference 2026
WERA Focal Meeting & TERA Conference 2026
Networks
Networks
The academic work of EERA is largely organised within the EERA networks.
Read more
EERA Networks
1. Professional Learning and Development
2. Vocational Education and Training (VETNET)
3. Curriculum
4. Inclusive Education
5. Children and Youth at Risk and Education
6. Open Learning: Media, Environments and Cultures
7. Social Justice and Intercultural Education
8. Health and Wellbeing Education
9. Assessment, Evaluation, Testing and Measurement
10. Teacher Education Research
11. Educational Improvement and Quality Assurance
12. Open Research in Education
13. Philosophy of Education
14. Communities, Families, and Schooling in Educational Research
15. Research Partnerships in Education
16. ICT in Education and Training
17. Histories of Education
18. Research in Sport Pedagogy
19. Ethnography
20. Research in Innovative Intercultural Learning Environments
21. Education and Psychoanalysis
22. Research in Higher Education
23. Policy Studies and Politics of Education
24. Mathematics Education Research
25. Research on Children's Rights in Education
26. Educational Leadership
27. Didactics - Learning and Teaching
28. Sociologies of Education
29. Research on Arts Education
30. Environmental and Sustainability Education Research, ESER
31. LEd – Network on Language and Education
32. Organizational Education
33. Gender and Education
34. Research on Citizenship Education
Emerging Researchers' Group
Network Procedures
Establishing a New Network
Changing names and scopes of networks
Elections and Mandates
Induction of Link Convenors
Tasks of Convenors
Reviewing
Nomination for Honorary Network Members
Support for Link Convenors and Reviewers
Annual Network Seminar and Link Convenor Meetings
Network Funding
Network Projects
Network Season Schools
Network Development Projects & Celebrations
Network Related Publications
Honorary Network Members
Network Representative
Emerging Researchers' Group
Emerging Researchers
Emerging Researchers
Read more
Emerging Researchers' Group
Emerging Researchers' Conference
ERC Best Paper Award
Best Paper Award Winners 2006 - present
Best Paper Award 2024
Best Paper Award 2023
Best Paper Award 2022
Best Paper Award 2021
Best Paper Award 2020
Best Paper Award 2019
Best Paper Award 2018
Best Paper Award 2017
Best Paper Award 2016
Best Paper Award 2015
Best Paper Award 2014
Best Paper Award 2013
Best Paper Award 2012
Winners' Testimonials
Shortlist of Commended Papers Over the Years
ERC Poster Awards
ERC Best Poster Winners
ERC Best Poster 2025
ERC Best Poster 2024 - A
ERC Best Poster 2024 - B
ERC Best Poster 2023
ERC Best Poster 2022 (in-person)
ERC Best Poster 2022 (online)
ERC Best Poster 2021
ERC Best Poster 2019
ERC Best Poster 2018
ERC Peer Review Poster Award 2019
ECER Conference Bursaries
Bursary Winners 2024
Bursary Winners 2023
Bursary Winners 2022
Bursary Winners 2021
Mentoring Emerging Researchers
Season Schools
Schools / Workshops
Schools / Workshops
The annual EERA Summer Schools bring together about 70 emerging researchers from 20 – 30 countries, who are tutored and advised by experienced researchers. Some EERA networks conduct subject-specific season schools.
Read more
EERA Summer School 2026
Theme and Aims
EERSS 2026 Keynote Speakers
Chemnitz University of Technology (TUC) and Altes Heizhaus
Chemnitz
Travel to Chemnitz
Application / Cost / Terms of Registration
2026 - Histories of Education Doctoral Summer School
EERA NW 34. Research on Citizenship Education Season School 2026:On field research in citizenship education
NW 01. Professional Learning and Development Spring School
Academic Writing Workshops
Hosting an EERA Summer School
Mission Statement/Funding Options
Past Summer and Season Schools
Past EERA Summer Schools
Past HEDSS Histories of Education Summer Schools
Past Network Season Schools
Publications
Publications
Learn more about EERJ, the European Educational Research Journal, and other publication activities.
Read more
Book Series - Transdisciplinary Perspectives in Educational Research
Doing Educational Research: Overcoming Challenges in Practice
EERJ - EERA's journal
European Educational Research Journal Accepted By the SSCI
IJRVET (NW02, VETNET)
EJIE - (NW 04, Inlcusive Education)
Networks Cooperations with other Journals
Studia Paedagogica
Health Education
Cultura Ciencia Deporte
Quality Assurance in Education
E-book: Education across Europe
E-book:"Looking Back Going Forward: School_Time in Flux and Flow in Europe and Beyond"
Conference Abstracts
Abstracts
Networks
EERA Networks
2. Vocational Education and Training (VETNET)
NW 02 ECER Statistics
ECER 2023, NW 02 Statistics
ECER 2023, NW 02 Statistics
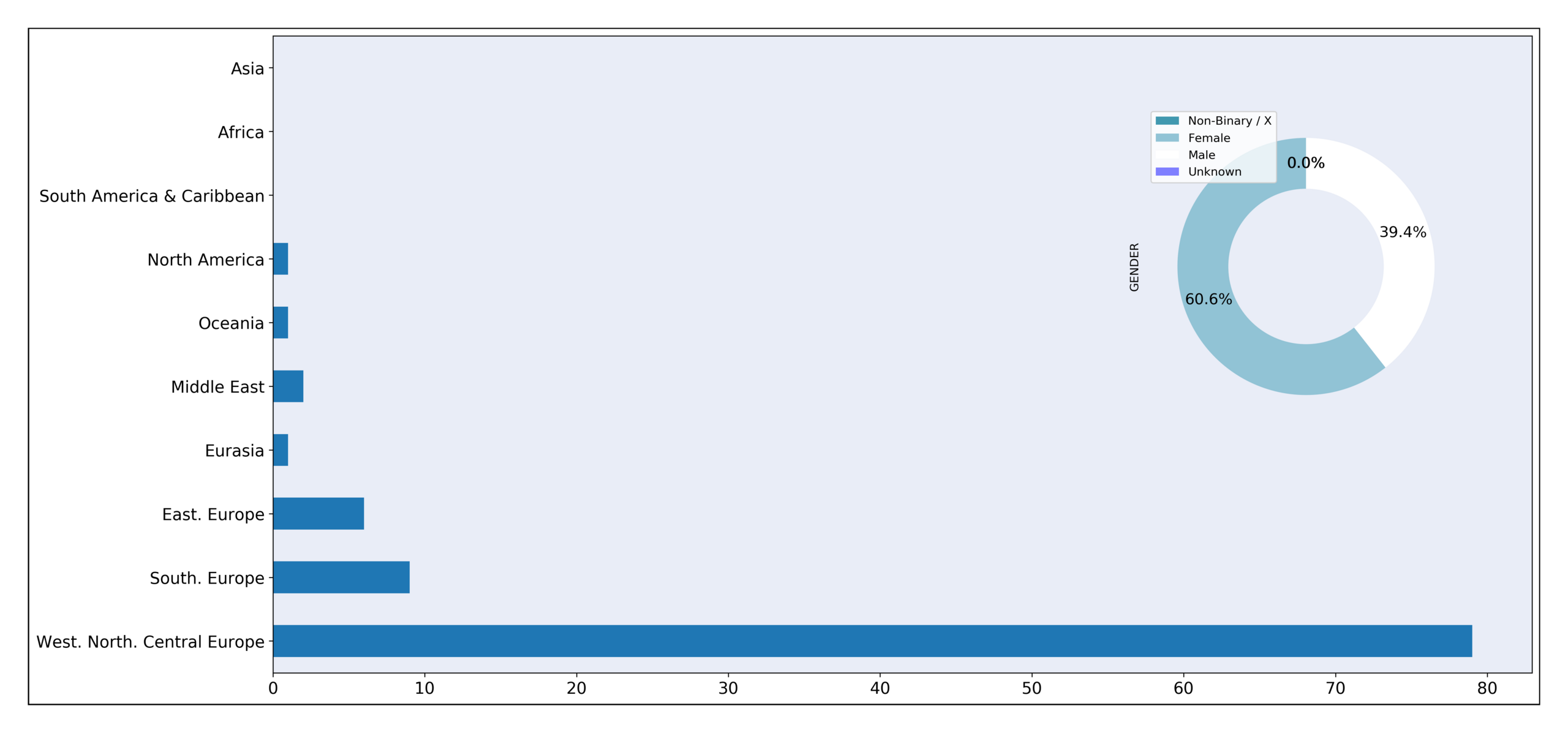
99 submissions were presented in the NW 02 programme of ECER 2023, including 9 symposia.
55 reviewers were involved in the reviewing process for NW 02. Country of origin and gender are portrayed in this graph.
99 submitters contributed to the programme of NW 02. Country of origin and gender are portrayed in this graph.
2. Vocational Education and Training (VETNET)
Network Activities
NW 02 Mailing List
Convenors
Honorary Network Members
NW 02 Annual Reports
History